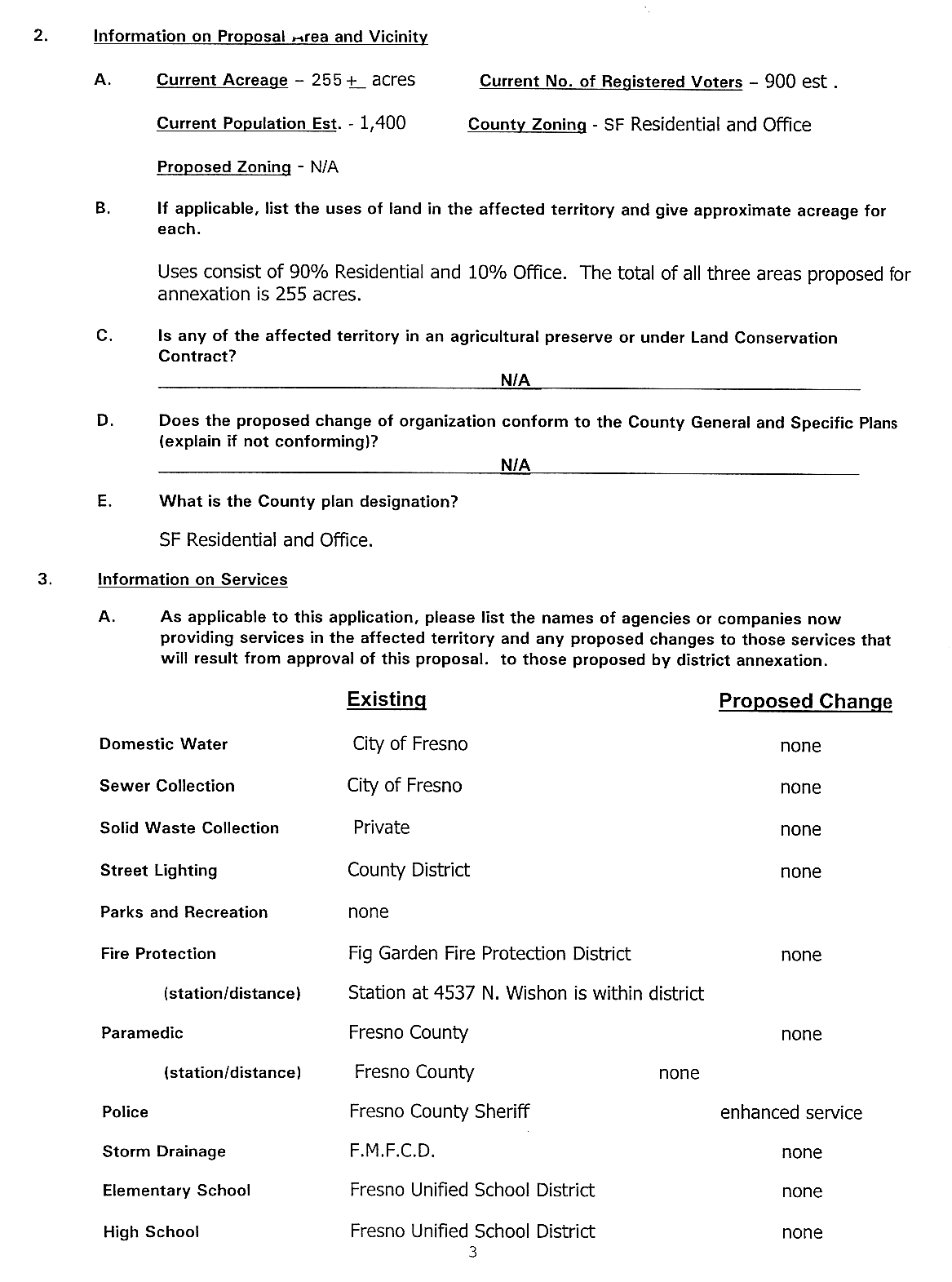
Fig Garden Police Protection District

Application For Special District Annexation

View: page 1, 2, 4, 5 - Home

View: page 1, 2, 4, 5 - Home